Are you looking for free printable math worksheets to help you ace your calculus class? Look no further! We have a wide range of worksheets available for you to download and use at your convenience.
Whether you’re struggling with derivatives, integrals, or limits, our free printable math worksheets are designed to provide you with the extra practice you need to succeed in calculus. Say goodbye to those late-night study sessions filled with frustration!
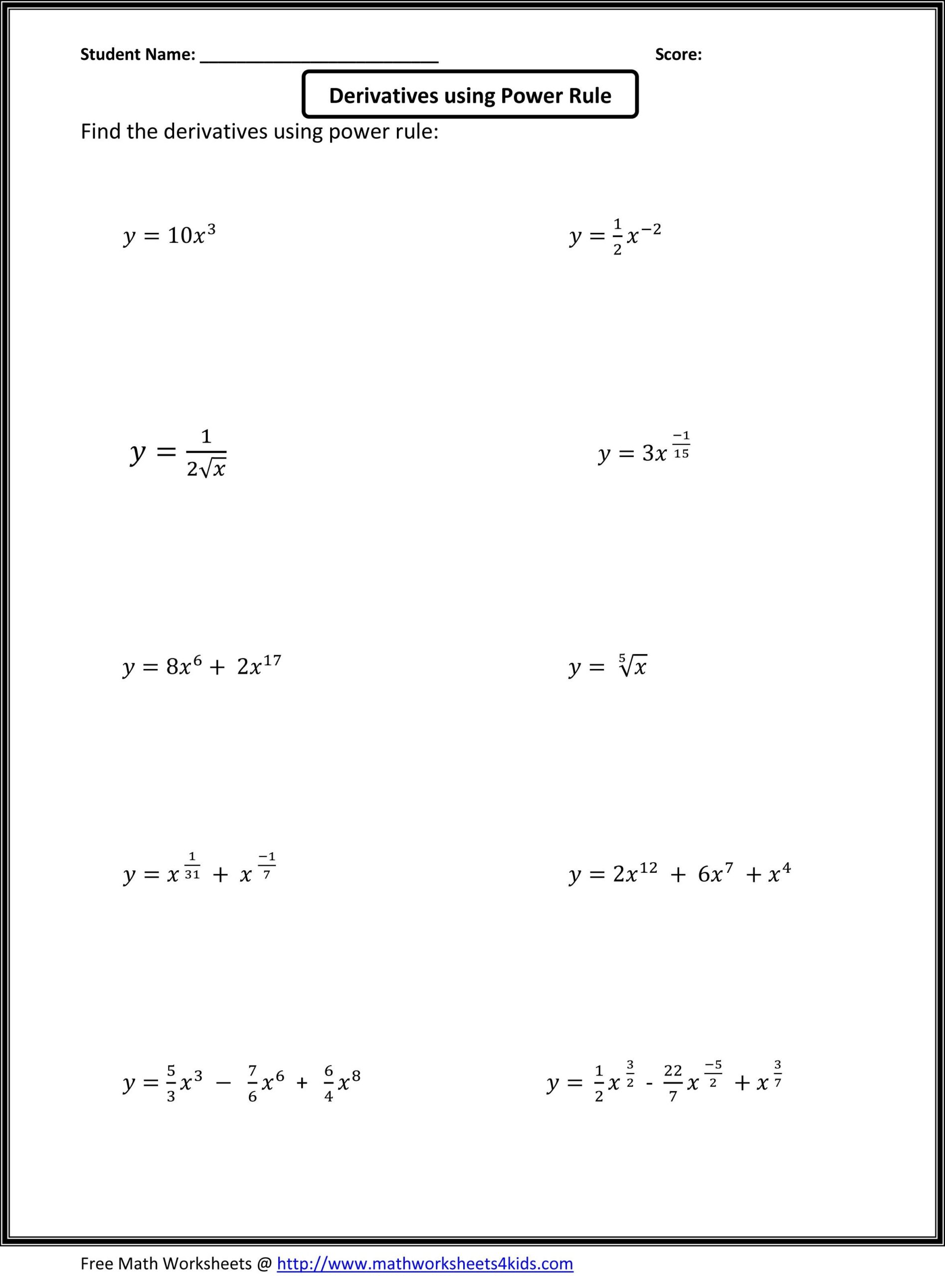
Free Printable Math Worksheets Calculus
Free Printable Math Worksheets Calculus
Our collection of free printable math worksheets covers various topics in calculus, including differential equations, optimization problems, and infinite series. Each worksheet comes with detailed solutions to help you understand the concepts better.
With our free printable math worksheets, you can practice as many problems as you need until you feel confident in your calculus skills. Whether you’re a beginner or an advanced student, our worksheets are tailored to meet your needs and help you excel in your calculus course.
Don’t let calculus intimidate you any longer. Take advantage of our free printable math worksheets today and take your calculus skills to the next level. Say goodbye to stress and hello to success with our easy-to-use and convenient worksheets!
So why wait? Download our free printable math worksheets now and start boosting your calculus knowledge. With our help, you’ll be acing your calculus exams in no time!
Matching Calculus Worksheet WordMint
Calculus Worksheets Basic Concepts In Differentiation And Worksheets Library
50 Calculus Worksheets On Quizizz Free U0026 Printable Worksheets Library
Calculus Related Factoring Printable MySchoolsMath Worksheets Library
Calculus Worksheets Basic Concepts In Differentiation And Worksheets Library







